NMN對健康中年成年人的功效和安全性
β-煙酰胺單核苷酸(NMN)是一種天然產物,在大多數植物中少量存在,如毛豆、西蘭花和黃瓜。它也是所有哺乳動物組織中的內源性分子。其生物學功能與增強煙酰胺腺嘌呤二核苷酸 (NAD) 的能力有關,NAD 是 NAD 生物合成中補救途徑的產物,NMN是 NAD 的前體。NAD 濃度隨著年齡的增長而下降,通過其在哺乳動物組織中的能量代謝和多聚 ADP 核糖聚合酶 (PARP)、Sirtuin 蛋白等的激活功能,影響哺乳動物的壽命和與年齡相關的健康狀況。
在動物研究中,補充 β-煙酰胺單核苷酸 (NMN) 可以增加煙酰胺腺嘌呤二核苷酸 (NAD) 濃度,并安全地延長健康壽命和壽命。
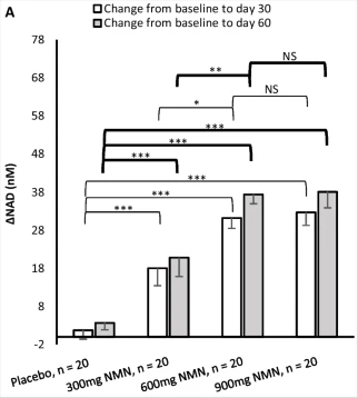
2022年一項隨機、多中心、雙盲、安慰劑對照、平行組、劑量依賴性臨床試驗納入了 80 名中年健康成年人,隨機接受為期 60 天的臨床試驗,每天口服一次安慰劑,300 毫克,600 毫克毫克,或 900 毫克 NMN。研究旨在測試 NMN 補充劑對血液的影響NMN 補充劑的 NAD 濃度(主要結果)、安全性、耐受性和臨床療效(次要結果)。
研究顯示在第 30 天和第 60 天,所有三個 NMN 治療組的血液 NAD 濃度均較基線顯著增加(所有p ≤ 0.001),而安慰劑組在同一時期沒有顯著變化。與安慰劑相比,所有三個 NMN 治療組的血液 NAD 濃度在第 30 天和第 60 天的時間點均顯著增加(均p < 0.001)。

研究證明每日口服劑量高達 900 毫克的 NMN 補充劑是安全的且耐受性良好。沒有出現與 NMN 治療相關的不良事件和中途退出。在所有三種劑量的 60 天 NMN 治療期間,實驗室參數和體檢均未顯示明顯的異常變化。
總之,在 NMN 治療期間,血液 NAD 濃度顯著且呈劑量依賴性增加。此次NMN試驗安全性和耐受性觀察結果與其他已發表的人體臨床試驗的結果一致。補充 NMN 對健康成年人的身體耐力和總體健康狀況有積極影響。
*特別說明 - 本文僅作資訊科普用途,不能代替醫生的治療診斷和建議,不應被視為對所涉醫療產品的推薦或功效證明。涉及疾病診斷、治療、康復相關的,請務必前往專業醫療機構就診,尋求專業意見。